The Powder Toy
Download
Forum
Browse
Wiki
FAQ
Play online
Register
Login
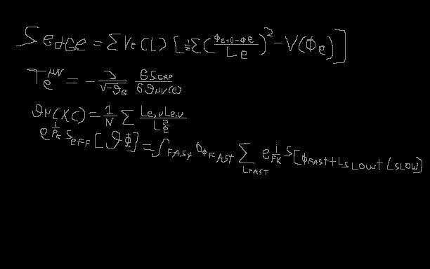
Equations
by Leaf1
Leaf1
2
/
0
20th October
20th October
Decided to publish them -\o/-
«
1
»
Comments
PlipPlu
22nd October
better hand writing then mine :/
rooger
20th October
its readable and good enough for the fact it is tpt
Hunter1
20th October
Your handwriting is so bad.. (no offense)